Feldpostbriefe aus dem Zweiten Weltkrieg -
Werkstattbericht zu einer Inhaltsanalyse
Martin Humburg
Zusammenfassung: "Feldpostbriefe" von Soldaten des Zweiten Weltkriegs sind seit den 80-er Jahren verstärkt Gegenstand historischer, soziologischer und psychologischer Studien geworden. An einem größeren Bestand von Briefen, geschrieben von Wehrmachtssoldaten aus der Sowjetunion zwischen 1941 und 1944, wurde erstmals systematisch erarbeitet, welche Themen die Schreiber beschäftigten, was sie ihren Angehörigen "zumuten" wollten, wo sie die Grenzen des Schreibens sahen und wie sich dies im Laufe der Zeit wandelte. In dem folgenden Werkstattbericht werden verschiedene methodische Fragen einer Brief - Inhaltsanalyse besprochen sowie das hierfür entwickelte Kategoriensystem vorgestellt. Mit Blick auf den möglichen erweiterten Nutzen einer solchen Erhebungsmethode für ähnliche Dokumentenarten werden Grenzen des Instrumentariums und der Umgang damit diskutiert.
Wilhelm Deist schrieb 1991 als leitender Historiker des Militärgeschichtlichen Forschungsamtes in einem Rückblick auf 30 Jahre Weltkriegsforschung: "Auf ein Defizit der Forschung sei an dieser Stelle nachdrücklich hingewiesen. Wie der Soldat an der Front in der Masse und unter der Führung des Regimes diesen Krieg erfuhr und welche Wirkungen davon ausgingen, bleibt eine Fragestellung, mit der sich die Forschung erst punktuell auseinandergesetzt hat. Angesichts der ca. 20 Millionen Wehrmachtangehöriger, die prägende Jahre ihres Lebens in den Streitkräften verbrachten und als Kriegsgeneration den Aufbau der Bundesrepublik bestimmten, bedarf die Forderung nach systematischen Untersuchungen wohl keiner besonderen Rechtfertigung."(1)
Als ein Beitrag zu einer systematischen Erforschung wurde vom Autor vorgelegt: "Das Gesicht des Krieges -Feldpostbriefe von Wehrmachtssoldaten aus der Sowjetunion 1941 - 1944". Opladen / Wiesbaden (Westdeutscher Verlag), 1998.(2)
Gegenstand einer Inhaltsanalyse waren 739 Briefe von 25 Wehrmachtssoldaten der Jahrgänge 1901 bis 1923, die sie zwischen Juni 1941 und Spätsommer 1944 aus dem Krieg gegen die Sowjetunion schrieben. Die Briefe wurden aus den ca. 20.000 Briefen der "Sammlung Sterz" (Bibliothek für Zeitgeschichte, Stuttgart) ausgewählt nach dem Kriterium, dass Dokumente von denselben Soldaten über einen längeren Zeitraum vorhanden sind, um deren Entwicklungen nachzeichnen zu.(3)
Zu den Schreibern konnten in den meisten Fällen einige demografische Daten gewonnen werden, so dass ihr sozialer Hintergrund erkennbar wird. Untersucht wurden Entwicklungen ausgewählter Themen in Abhängigkeit von der Zeit (vier definierte Zeitabschnitte), dem Alter (jüngere / ältere) und dem Dienstgrad (Mannschaften / Unteroffiziere). Für spezielle Fragen wurden weitere Differenzierungen vorgenommen. So konnten die "Aufsteiger" (von Mannschafts- zu Unteroffiziersgrad) mit den "Nicht-Aufsteigern", bzw. Soldaten bei kämpfenden Einheiten mit solchen im Nachschub verglichen werden. Soweit möglich, werden auch soziale Herkunft sowie Zuordnungen zu militärischen Einheiten (frontnahe und frontferne), bzw. jeweiliger Standort (Nord, Mitte, Süd) ermittelt, um Auswirkungen auf die Briefthemen systematisch zu erfassen.
Eine "Warnung" vorweg: Im Folgenden liegt der Schwerpunkt nicht auf den inhaltlichen Ergebnissen, sondern auf methodischen Fragen. Wie ist der klassische Streit zwischen "quantitativ" und "qualitativ" orientierter Inhaltsanalyse zu bewerten? Welche Themenkategorien können gefunden werden, die einerseits das Spektrum möglicher Inhalte abdecken, andererseits nicht zu sehr ausufern? Wieweit ist Verlässlichkeit (Reliabilität) zu erreichen bei der Zuordnung von Kategorien zu den Brieftexten? Welche Konsequenzen sind bei einer quantitativen Auswertung aus der Unterschiedlichkeit von Brieflängen zu ziehen, zumal dann, wenn Briefe verschiedener Gruppen und Zeiten miteinander in statistisch auswertbarer Form verglichen werden sollen? In diesem "Werkstattbericht" sollen also einige Anforderungen und Schwierigkeiten bei der Inhaltsanalyse von Briefen vorgestellt werden - dies auch als Anregung zur Diskussion über Standards in einem interdisziplinären Ansatz zwischen Psychologie und Geschichtswissenschaft. Im Anhang wird hier erstmals das gesamte Kategoriensystem vorgestellt, das mit leichten Modifikationen auch für vergleichbare Quellen herangezogen werden kann und daher von einem Interesse sein mag, das über den begrenzten Gegenstand hinausgeht. Für die historische und psychologische Einbettung der Untersuchung, die Hypothesen und die empirischen Befunde im einzelnen sowie für die inhaltliche Darstellung von Feldpostbriefen sei auf die genannte Gesamtdarstellung verwiesen.
Für eine Untersuchung von Brieftexten bietet sich als methodischer Zugang die Inhaltsanalyse an. Nach Krippendorf kann Inhaltsanalyse definiert werden als "die Anwendung replizierbarer und gültiger Methoden, um spezifische Schlüsse von einem Text auf andere Zustände oder Eigenschaften seiner Quelle zu ziehen".(4) Der Streit aus den 50er Jahren zwischen einer quantitativen und einer qualitativen Herangehensweise ging um die Frage, ob mit einer objektiven, systematischen und quantitativen Beschreibung der manifeste Inhalt von Kommunikation (Berelson) oder aber qualitativ "das Ganze des Inhalts" zu analysieren sei, wobei man auch zwischen den Zeilen lesen müsse (Kracauer). Der Streit hat inzwischen an Schärfe verloren, weil sich bei den quantitativ Orientierten "die Erkenntnis durchgesetzt hat, dass der 'manifeste Inhalt' strenggenommen aus nichts weiter als den 'schwarzen Punkten auf weißem Papier' besteht [...], wie sich umgekehrt bei den 'weichen' Kracauer-Anhängern die Erkenntnis durchgesetzt hat, dass man für Interpretationen, die nachvollziehbar sein sollen, Regeln braucht, und dass auch die Behauptung, etwas sei 'da' oder 'nicht da', ein zählendes (d. h. quantitatives) Moment enthält."(5) So gibt es heute eine Suche nach "Mischformen der Inhaltsanalyse", die die starre Abgrenzung zwischen hermeneutisch-interpretativen und empirsch-erklärenden Verfahren zumindest teilweise auflösen wollen.(6) Treinen führt anhand der Forschung zum "Kriegserlebnis im 1. Weltkrieg" in dieses Gebiet ein.(7) Dazu schränkt er zunächst den Anspruch ein, der an die Methode "Inhaltsanalyse" gestellt werden kann: Eine verstehende Analyse des Weltkriegs als solchen ist ein sinnloses Forschungsziel, da schon für die Kriegsteilnehmer selbst der Gesamtzusammenhang des Krieges "verstehend" nicht erfassbar war. "Die Vorstellung, hermeneutisch orientierte historische Forschung sei darauf anlegbar, eine einheitliche Theorie des Weltkriegs im Sinne der Enträtselung des "Kriegs-Ganzen" zu entwerfen, enthält einen Mythos. Ein solcher Ansatz würde nämlich eine eindimensionale und eindeutig entzifferbare Realität systematischer Art voraussetzen, die sich als solche in den Köpfen der Zeitgenossen befindet oder sich in ihnen widerspie-gelt". Dagegen steht die soziologische Erfahrung, dass zwar "kollektive Schichten im Bewusstsein vorhanden (und unabdingbar) sind, dass es jedoch eine ganze Reihe anderer Bewusstseinsschichten gibt, die von der je spezifischen sozialen Anbindung verursacht werden und keineswegs einheitlich sind."(8) Den Vorzug der formalisierten Inhaltsanalyse sieht Treinen darin, dass sie zur Präzision zwingt, "und zwar nicht nur der verwandten Forschungstechnik, sondern vor allem dazu, den eigenen theoretischen Hintergrund gründlicher zu reflektieren, als dies häufig der Fall zu sein scheint. Voraussetzung für eine Anwendung dieser soziologischen Methode ist ein "theoretisches Konstrukt und seine Übersetzung in einen Hypothesenrahmen. [...] Die Ergebnisse der Anwendung dieser Forschungsmethode sind in erster Linie Prüfsteine für die Gültigkeit der zugrundeliegenden theoretischen Behauptungen."(9) So geht es in der Inhaltsanalyse um eine Datenreduktion, um die Zusammenfassung von Textbestandteilen unter Kategorien, "mit deren Hilfe im Zusammenhang Bedeutungen und Bedeutungskontexte aufdeckbar sind. Rekonstruierend sind Inhaltsanalysen insoweit, als sie vorweg angestellte Vermutungen über derartige Bedeutungskontexte und Bedeutungszusammenhänge ansatzweise bestätigen oder widerlegen können. Geprüft wird bei der Inhaltsanalyse also die Angemessenheit und Gültigkeit von Aussagen, woher immer sie auch stammen mögen." Als Kriterien eines methodischen und systematisierenden Vorgehens führt Treinen an: "Alle in Frage stehenden Texteinheiten sind der Analyse zu unterwerfen und nicht nur die dem Forscher interessant erscheinenden Textstellen. Ferner müssen die gewählten grundlegenden Kategorien, die Texteinheiten repräsentieren sollen, auf alle zu untersuchenden Textstellen angewandt werden; das heit: sie müssen in unveränderter Weise auf alle Textstellen bezogen werden. Das ganze Verfahren erfordert Systematik, Intersubjektivität (als Hinweis auf Objektivität), Wiederholbarkeit und Gültigkeit der Aussagen in Bezug auf die Fragestellung."(10). Ballstaedt(11) formuliert den Anspruch allgemeiner, wenn es bei der Analyse von Briefen und vergleichbaren Dokumenten um die Beantwortung genereller Fragen geht: etwa zu thematischen Schwerpunkten und Absenzen, zu mentalen Assoziationsstrukturen, zu Richtung und Intensität von Einstellungen und zu Gefühlen und Motiven.
Von heuristischem Wert sind in diesem Zusammenhang die Untersuchungen von Thomae über "Reaktionshierarchien" im Hinblick auf unterschiedliche Stressbedingungen.(12) Richtungsweisend ist auch Thomaes Ansatz, hierbei jeweils Gruppen im Vergleich einander gegenüberzustellen und deren Reaktionshierarchien zu vergleichen (z. B. Verheiratete/Geschiedene; Kranke/Gesunde; Patienten mit unterschiedlichen Diagnosen). So ist bei einer Analyse von Briefen nicht nur eine übergreifende gemeinsame Reaktionshierarchie in Belastungssituationen zu erwarten; schärfere Konturen treten beim Vergleich von Untergruppen hervor, so z. B. in Abhängigkeit von der Zeit oder von Personenmerkmalen.
Da es bisher keine Studie zu einem größeren Feldpostbriefbestand gibt, in der Themenentwicklungen in Abhängigkeit von der Zeit und verschiedenen weiteren Merkmalen der Schreiber und Empfänger systematisch untersucht werden, hat der explorative Anteil einen hohen Stellenwert. Systematik und der Versuch, das gesamte Inhaltsspektrum zu erfassen, sind bei diesem Thema umso mehr von Bedeutung, als die häufige eklektische Methode der Quellenausbeute zu letztlich beliebigen, auch ganz gegensätzlichen Befunden führen kann. Bei der Entwicklung von Kategorien sollte auch eine gewisse Bodenhaftung, anders ausgedrückt: eine Verständlichkeit und Akzeptanz für den nicht spezialisierten Leser einer schwer nachvollziehbaren Abstraktion vorgezogen werden. Definiert man nämlich Indizes für sehr komplexe Konstrukte, wie Guski in seiner Analyse "Deutsche Briefe über Ausländer", so kann man leicht zu seinem apodiktischen Urteil gelangen, "dass menschliche Inhaltsanalytiker für solche Aufgaben auch nach intensiver Schulung nicht geeignet sind".(13) Für die vorliegende Studie ist ein Verfahren anzustreben, das durch differenzierte und zugleich auch für den interessierten Laien nachvollziehbare Kategorien eine Art des "screening" mit vertretbarem Aufwand ermöglicht, um eine Interpretation vorzubereiten.
Anzustreben ist bei der Erstellung eines inhaltsanalytischen Kategoriensystems:(14)
a) Vollständigkeit
b) Widerspruchsfreiheit
c) Eindeutigkeit
d) Handhabbarkeit
Die Inhaltsanalyse in der Praxis wird oft nur eine Annäherung an diese Ziele darstellen können - das Kategoriensystem (s. Anhang) ist ein Ergebnis auf diesem Weg, das zunächst anhand der Analyse von Briefen in mehreren Vorstufen getestet und weiterentwickelt wurde und sich schließlich in der letzten Fassung als adäquates Instrument zur Erschließung des komplexen Materials erwies.
zu a) Vollständigkeit
Die Erfassung (militär-) historischer Themen (2 bis 5) soll Äuerungen zum allgemeinen Kriegsgeschehen (2) sowie zu den wichtigsten Facetten des Kriegsalltags (3) erschlieen, sodann das "Selbstbild" (4) und das "Feindbild" (5). Die Erfassung psychologischer Themen (6) ist angelehnt an ein Einteilungsschema von Silvan S. Tomkins, der bei der Analyse von TAT-Geschichten den Anspruch verfolgt, "das Kategoriensystem müsse als Ganzes auch die Totalität des untersuchten Gegenstandes zugänglich machen". Mit der Erfassung der "Metakommunikation" (7) soll schließlich herausgearbeitet werden, was die Briefschreiber über die Feldpost aussagen, welche Bedeutung sie ihr beimessen und wieweit sie die "Zensur" wahrnehmen.
Damit ist die "inhaltliche Spannweite" dieser Auswahl von Feldpostbriefen weitgehend abgedeckt. Mit Modifikationen, vor allem im Teil "Feindbild", könnten auch Feldpostbriefe von anderen Fronten erfasst werden.
Zur Herleitung der psychologischen Themen (6.1 - 6.9) sei der Ansatz vom Tomkins dargestellt. Tomkins benennt 10 "Vektoren", unter denen er charakteristische psychische Ausrichtungen des "Verhaltens, Strebens, Wünschens, der reaktionsbereiten Beeindruckbarkeiten für bestimmte Objektqualitäten" versteht.(15) Diese Grundrichtungen, die Tomkins mit Präpositionen bezeichnet ("on", "toward", "with", "against" usw.) "können sich auf Gegenstände oder Personen, auf das Selbst, auf soziale Institutionen, auf stoffliche Gegenstände oder geistige Gehalte beziehen, kurz auf alles, was Gegenstand menschlichen Interesses sein kann."(16) Es folgen die "Vektoren" nach Tomkins, im Anschluss die mit den Vektoren verwandten, aber nicht deckungsgleichen Ableitungen für den psychologischen Teil des Kategoriensystems.
I. Vektor "on": Abhängig sein von, angewiesen sein auf
Dinge oder Personen.
II. Vektor "from": Von Objekten positiv Wertvolles empfangen.
III. Vektor "toward": Sich Objekten von positiver Bedeutung nähern oder
sich an ihnen erfreuen.
IV. Vektor "with": Teilhaben an Objekten von positiver Bedeutung.
V. Vektor "for": Objekten Wert verleihen.
VI. Vektor "over": Über Objekte herrschen.
VII. Vektor "under": Durch Objekte von negativem Bedeutungswert beherrscht
werden.
VIII. Vektor "by": Von Objekten mit positivem Bedeutungswert beherrscht
werden.
IX. Vektor "away from": Objekte meiden, fliehen oder verlassen.
X. Vektor "against": Objekte
angreifen.(17)
Die analogen Themen im Kategoriensystem, die jeweils in weitere Unterthemen aufgegliedert sind, lauten:
6.1.0. Abhängigkeit und Hilfsbedürftigkeit ("on"/ "dependency")
6.2.0. Aufnahmebereitschaft und Erwartung ("from" und "for")
6.3.0. Geselligkeit und Anschluss ("toward" /"affiliation")
6.4.0. Liebe und Partnerschaft ("with")
6.5.0. Herrschaft und Kontrolle ("over")
6.6.0. Unterlegenheit und Kontrollverlust ("under")
6.7.0. Orientierungen, Ziele und Lebensanschauungen ("by")
6.8.0. Abwehr und Vermeidung ("away from")
6.9.0. Feindseligkeit ("against")
Tomkins "Vektoren" wurden als Anregung aufgegriffen und auf
die Themen der Feldpostbriefe hin überarbeitet. Die Adaptation des
Tomkinsschen Ansatzes ist damit eine Hilfe, aufmerksam zu werden auf Aspekte,
die bei einer nur am Material selbst entwickelten Kategorienbildung leicht
übersehen werden könnten, und zugleich ein Mittel, um die
Komplexität möglichst sinnvoll in den Griff zu bekommen. Im folgenden
Kreisschema wird versucht, die 10 Vektoren in der hier vorliegenden
Überarbeitung anzuordnen. Idealtypisch wäre es, wenn auch die einander
benachbart angeordneten Vektoren einander näher stehen - das gilt aber
nicht durchgängig.
Mit den Zahlen 610 bis 690 ist jeweils der Ort angedeutet, der den Hauptkategorien im 2. Teil des Kategoriensystems am ehesten entspricht. Einander gegenüberliegende Vektoren können dann eine Polarität darstellen. So kann man mit den vier nummerierten Achsen folgende Polaritäten beschreiben:
Achse 1: Überlegenheit - Unterlegenheit
Achse 2: Nehmen / Abhängigkeit - Geben / von sich abhängig machen
Achse 3: Miteinander - Gegeneinander
Achse 4: Annäherung /Orientierung - Vermeidung
In der oberen Hälfte des Modells finden sich die Themen, die mit Überlegenheit zu tun haben, in der unteren Hälfte die Unterlegenheitsthemen; links stehen Themen der Annäherung, rechts Themen der Distanzierung.(18)
Zu b und c) Widerspruchsfreiheit und
Eindeutigkeit
Das Kategoriensystem ist hierarchisch aufgebaut. Hier entsteht bei der Konstruktion ein "Wechselspiel" zwischen Haupt- und Unterpunkten derart, dass die jeweiligen Unterpunkte eines Hauptpunktes eher einander zuzuordnen sind als anderen. Verändert man Unterpunkte, so trifft die Benennung des Hauptpunktes und damit seine Abgrenzung zu anderen Hauptpunkten nicht mehr zu.
Da es sich bei dem 1. und 2. Teil des Kategoriensystems um zwei Analysen zugleich handelt, ist der Anspruch der Inhaltsanalyse, jeweils einer Kodierungseinheit nur eine Kodierung zuzuweisen, in diesem Fall so umzusetzen, dass jeweils innerhalb der Kategorienbereiche (2 - 5 bzw. 6) eine Aussage nur einmal kodiert wird. Wird aber ein historischer Themenbereich mit einem Thema der 2. Gruppe verbunden dargestellt, so kann dem mit einer Doppelkategorisierung entsprochen werden, wie es in der Inhaltsanalyse in diesem Fall üblich ist.(19)
In der Auswertung gilt folgende Konvention:
Grundsätzlich wird so vorgegangen, dass nach den jeweiligen Unterkategorien kodiert wird. Für jede Hauptkategorie wird eine "Residualkategorie" vorgesehen für jene Fälle, in denen ein Thema zwar in das Hauptgebiet gehört, aber eine eindeutige Zuordnung zu einer Unterkategorie nicht möglich erscheint. Durch diese Zuordnung von 'unklaren' Residualeinheiten zu jeweils einer Hauptkategorie wird der Vollständigkeitsanforderung der Inhaltsanalyse in diesem Fall am ehesten entsprochen und Informationsverlust vermieden. (Der Anteil der Residualkategorien lag insgesamt bei unter 5 % aller Kodierentscheidungen.) Die Summen der Unterkategorien ergeben den Wert für die jeweilige Hauptkategorie.
Ein Inhalt wird pro Brief nur einmal gezählt, unabhängig davon, wie ausführlich, wie intensiv oder wie oft er innerhalb eines Briefes auftaucht. Dies trägt der Kritik einer qualitativ orientierten Inhaltsanalyse(20) an einer rein quantitativen Analyse Rechnung: Es soll nicht durch die Zählung versucht (oder fälschlich suggeriert) werden, die unterschiedliche Intensität oder die "Nachdrücklichkeit" der Aussage widerspiegeln zu können. Ob in einem Brief "Verachtung" in einem kurzen prägnanten Satz oder aber über eine längere Passage in abgeschwächter Form ausgedrückt wird, geht damit nicht in eine unterschiedliche Quantifizierung ein. Die Gewichtung erschliet sich vielmehr der späteren Interpretation beim Rückgriff auf das Material. Wohl aber erscheint der Schluss berechtigt, dass ein Inhalt in dem Mae mehr Bedeutung für einen Schreiber hat, als dieser Inhalt in verschiedenen Briefen wiederholt auftaucht.
Mehrfach wird derselbe Inhaltspunkt in einem Brief dann kodiert und gezählt, wenn unterschiedliche Facetten dieses Inhalts angesprochen werden: Wenn der Autor z. B. in demselben Brief über schlechte Hygienebedingungen ("Dreck", "Läuse": Kategorie 3.9.0) klagt und kurz darauf über Strapazen durch Erschöpfung oder über andere Widrigkeiten wie den Verlust persönlicher Habe (ebenfalls Kategorie 3.9.0), so wird in diesem Fall die Kategorie zweimal, gegebenenfalls auch öfter gewertet. Somit kann die kategoriale Zuordnung durchaus eine Akkumulation verschiedener "Stressfaktoren" widerspiegeln, ohne aber jetzt eine Wertung aufgrund der Länge oder verbalen Intensität der Äußerung über den Grad der jeweiligen Belastung zu beanspruchen.
Die Interpretationsspielräume bei einer Inhaltsanalyse sollen so breit sein, dass keine wichtigen Informationen verloren gehen, sie sollen aber so eng sein, dass verlässliche (reproduzierbare) Ergebnisse erzielt werden. Neben der inhaltlichen Ableitung war es auch das Briefmaterial selbst, das in einer Erprobungsphase (mit anderen Briefen als denen der Endstichprobe) nahelegte, welche Kategorien noch spezieller aufgefächert, welche besser zusammengefasst werden sollten. So spiegeln die Hauptkategorien mit ihren unterschiedlich zahlreichen Unterkategorien schon etwas von der Bedeutung der jeweiligen Themen in den Briefen wieder. Hier wird die Konvention - Mehrfachvergabe derselben Kategorie innerhalb eines Briefes dann, wenn unterschiedliche Facetten des Themas angesprochen werden - für die Auswertung auch insofern bedeutsam, als damit einem zirkulären Schluss vorgebeugt wird: Es läge nahe zu vermuten, dass eine Hauptkategorie mit 10 Unterkategorien in der Summe einen höheren Wert erhält als eine Hauptkategorie mit nur 4 Unterkategorien. Wo dies Ergebnis allein aufgrund der unterschiedlichen Auffächerung in Unterkategorien zustande käme, wäre es ein Artefakt. Da aber dieselbe Kategorie bei unterschiedlichem Themenschwerpunkt im selben Brief mehrfach vergeben wird, ist es letztlich der Inhalt der Briefe und nicht die Anlage des Kategoriensystems, der über die Summengewichte der Hauptkategorien entscheidet. In der Abwägung der Möglichkeiten wurde ein jeweils gleicher Umfang der Hauptkategorien (jeweils gleiche Anzahl der Unterkategorien) als eher irreführend und künstlich betrachtet. Der inhaltliche Verlust wäre größer gewesen, wenn man aus solchen Gründen einige Unterkategorien "aufgespalten", andere unter Informationsverlust zusammengefasst hätte.
Die Kodierkonvention stellt einen Kompromiss dar. Die Alternativen würden entweder Informationen unzulässigerweise unbeachtet lassen (jede Kategorie höchstens einmal pro Brief), oder aber in Unpraktikabilität münden, wenn für jede Aussage aller Briefe ein Index gefunden werden sollte, der einen Rückschluss auf die Intensität der Bedeutung der jeweiligen Aussage erlaubt. Es wäre zudem unklar, wie ein solcher Index aussehen sollte: Die Anzahl der Worte pro Thema wäre - neben der Aufwendigkeit bei über 90 Unterkategorien - auch ein bedenklicher Indikator. Eine Skalierung nach "Intensitätsmerkmalen" könnte evtl. bei speziellen Themen mit einem hohen Gefühlsgehalt durchführbar sein, bei der Breite der Themen würde aber sehr schnell die Interraterreliabilität so sehr eingeschränkt sein, dass eine Schlussfolgerung eher spekulativ wäre. Hier wird im konkreten Fall die Methode des hermeneutischen Deutens erfolgversprechender sein. Um aber die durchaus interessante Information über die Redundanz des Geschriebenen zu erheben, wurden Themenwiederholungen getrennt erfasst und ausgewertet.
Schließlich sei als ein Aspekt der Eindeutigkeit der Analyse die Gefahr erwähnt, dass beim Kategorisieren von Briefen jeweils interpretierende "Vorentwürfe" des Kodierers entstehen können: Kennt man einen Autor aus einer Reihe von Briefen, so kann eine Erwartungshaltung entstehen, die bei der weiteren Kategorisierung den Blick für bestimmte Themen schärft und für andere trübt. Um diesem Zirkel möglichst zu entgehen, werden alle Briefe in gemischter Reihenfolge kategorisiert: Pro Autor werden immer nur fünf Briefe in Folge kodiert. Zusätzlich werden die Zeiträume gemischt, so dass also auf fünf Briefe des Autors A aus dem Herbst 1941 fünf Briefe des Autors B aus dem Frühjahr 1944, dann fünf Briefe des Autors C aus dem Winter 1942 folgen usw.
zu d) Handhabbarkeit
Obwohl es sich um über 90 Unterkategorien handelt und das Verfahren damit aufwendig anmutet, bewährt sich die Differenzierung letztlich doch: Sie lässt im Ergebnis ein schnelleres Arbeiten zu. Die Praxis zeigt, dass die Feindifferenzierung die Handhabung vereinfacht. Der Rückgriff auf die Residualkategorien wird in der Praxis eher zur Ausnahme, was dafür spricht, dass die Themen des Kategoriensystems den inhaltlichen Raum der Briefe weitgehend abdecken. Auch die Transparenz ist herstellbar, wie der Austausch mit Probe-Co-Ratern zeigt, die sich nach einer überschaubaren Einarbeitungszeit in die Auswertung hineinfinden. Als Hilfsmittel dient eine Erläuterungs- und Beispielliste, in der jede Kategorie mit Sätzen aus den Briefen vorgestellt wird. Dort werden auch Hinweise auf Überschneidungen und Abgrenzungen der Kategorien gegeben. Die Brauchbarkeit des Kategoriensystems zeigt sich schließlich darin, dass auf diesem Weg ein Themenregister für den gesamten Briefkorpus entsteht.
Methodische Anforderungen einer empirisch abgesicherten Inhaltsanalyse liegen in der Reliabilität und der Validität. Die Reliabilität - die Verlässlichkeit, mit der Kategorien denselben Aussagen zugewiesen werden, lässt sich mit einem Wiederholungsverfahren messen: Entweder durch die Analyse derselben Textpassagen durch verschiedene Koder oder durch denselben Koder nach einem Zeitabstand. Hier wird bei 'spontanen Inhaltsanalysen' auch bei der Quelle Brief gerne gegen wünschenswerte Standards verstoßen - in der Regel dadurch, dass die Autoren schon auf einen Versuch des Reliabilitätsnachweises verzichten. So bewegen sich alle abgeleiteten angeblich quantifizierbaren Befunde sowie deren Interpretation auf dem sehr dünnen Eis der Annahme, dass der jeweilige Untersucher seine definierten Kategorien in einer allgemein nachvollziehbaren Weise dem Text zugeordnet hat, ja, dass er selbst darin eine verbindliche Konstanz erreicht hat. Dies sind - ohne Reliabilitätsstudien sowie das Hilfsinstrument einer Beispielliste(21) - nur spekulative Annahmen, die den Wert der Ergebnisse insgesamt einschränken, weil damit der Abstand zur eingangs kritisierten subjektiven und eklektischen Methode der Quelleninterpretation nicht gegeben ist, besonders dann, wenn es nicht nur um die Feststellung von Indikatorwörtern, sondern um komplexe Zusammenhänge gehen soll.
Bei seriöser Betrachtung ist aber auch mit dem Nachweis der Reliabilität nur eine Annäherung an einen befriedigenden Standard zu erreichen. Aus pragmatischen Gründen wird sich die Kategorienzuweisung (sei es in der Wiederholung durch den Autor oder durch andere Kodierer) nie auf den gesamten untersuchten Bestand beziehen, sondern nur auf eine Auswahl. Die Angabe über die Zuverlässigkeit ist also letztlich eher eine Angabe über deren Möglichkeit - aber immerhin das.
In der Literatur werden Reliabilitätskoeffizienten von .70 allgemein als zufriedenstellend angesehen.(22) Merten verweist einmal spitz auf das Phänomen, dass in Untersuchungsberichten von den Autoren oft hohe Reliabilitätskoeffizienten angegeben werden, die dann in Replikationsstudien nie wieder erreicht würden. Daher seien hier neben den abschließenden Ergebnisssen auch die anfänglich bedenklichen referiert und Schlussfolgerungen daraus diskutiert.
Mit der Differenzierung des Kategorienschemas wird die Gültigkeit der Analyse erhöht, allerdings kann die Zuverlässigkeit sinken, mit der Kodierungen vergeben werden. Es wurden dazu Reliabilitätsuntersuchungen vorgenommen, die in einer Explorationsphase helfen, das Kategoriensystem zu optimieren und die schließlich darüber Aufschluss geben sollen, wieweit der Verfasser nach einem Zeitabstand zu denselben Kodierungsergebnissen kommt, bzw. wie hoch die Übereinstimmung mit einem anderen Kodierer bei gleichem Briefkorpus ausfällt. Es wurden insgesamt 2 Untersuchungen in einem Abstand von einem halben Jahr durchgeführt. Der Aufbau der beiden Reliabilitätsuntersuchungen war in beiden Fällen so, dass jeweils in Abständen von 4 Wochen eine Kodierung der Briefstichprobe durch den Verfasser (Kodierung A, zt 1 und zt 2) sowie durch eine Historikerin (Kodierung B) vorgenommen wurde.(23) Dies erlaubte also einen Vergleich der Übereinstimmung jeweils zwischen den beiden Kodierungen A sowie zwischen diesen beiden und der Kodierung B.
Bei der ersten Untersuchung wurden 20 Briefe vorgegeben mit insgesamt 359 Kodierentscheidungen, bei der zweiten Untersuchung 10 weitere Briefe mit 256 Kodierentscheidungen.
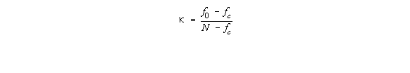
Berechnet wurden die Übereinstimmungen nach dem Koeffizienten ("kappa") nach Cohen.(24) Er ist definiert als:

Hierbei werden also nicht nur die übereinstimmenden
Kodierentscheidungen zweier Kodierer in Beziehung gesetzt zur Gesamtzahl
aller Kodierentscheidungen, sondern es werden auch noch die zu erwartenden
zufälligen Übereinstimmungen einbezogen. Damit ergibt "Cohen's
kappa" einen kritischeren Wert als andere Koeffizienten (wie z. B. der
Koeffizient nach Holsti, 1963), wobei allerdings zu bemerken ist, dass die
Zahl der zu erwartenden zufälligen Übereinstimmungen bei der Vielzahl
der hier vorliegenden Kategorien vergleichsweise gering ist.
Bei der Auswertung fiel auf, dass eine beachtliche Fehlerquelle, die die Zahl der Übereinstimmungen vermindert, darin liegt, dass im einen Falle eine Kategorie gegeben wird, im anderen nicht. Es handelt sich also um ein Problem des Erkennens von zu kodierenden Einheiten bzw. um ein Problem der "Einheitenbildung". Dieses Problem kann bei einer so komplexen Materie wie den Briefen kaum ausgeschlossen werden, wenn man nicht sehr formalistische Kriterien vorgeben will, z. B.: dass immer nur jeweils ein Satz oder eine Zeile kodiert werden sollte. Eine solche Vorgabe würde den Texten nicht gerecht, in denen manchmal ein Inhalt über längere Passagen abgehandelt wird, anderndorts aber in wenigen Worten eine relevante neue Botschaft enthalten sein kann. So wurde dieser evtl. "Nachteil" an Exaktheit in der ersten Untersuchung genutzt, um unterschiedliche "Sensibilitäten" zu erkennen, also zu erfassen, welche Merkmale im einen Fall wahrgenommen, im anderen nicht für wichtig erachtet oder übersehen wurden. Dies konnte im Anschluss zu einer Überarbeitung des Kategoriensystems führen, einer in einigen Unterpunkten veränderten Zuordnung, einer genaueren Beschreibung der Kategorien mithilfe von Beispieltexten sowie zu einem Training in der Bildung von "Einheiten". Die Fälle, wo jeweils die eine Kodierung geschah, die andere ausblieb, seien hier 0 - Kodierungen genannt. Es liegt auf der Hand, dass die Übereinstimmungen jeweils höher ausfallen, wenn diese 0 - Kodierungen nicht mitgerechnet werden. Dies ist dann zweckmäßig, wenn man die reine Überinstimmungshöhe feststellen möchte, also für die Einheiten, bei denen jeweils von beiden Ratern Kodierungen vorgenommen wurden. In der folgenden Übersicht seien daher die -Werte für beide Arten der Berechnung angegeben.
| alle Kodierungen
ohne 0-Kodierungen |
Kod. A
zt1 |
Kod. A
zt2 |
Kod. B |
| Kod. A zt1 | --- | .65 | .39 |
| Kod. A zt2 | .75 | --- | .43 |
| Kod. B | .67 | .67 | --- |
Tabelle 1: 1. Reliabilitätsuntersuchung
In den schraffierten Feldern sind die Werte angegeben, die von allen Kodierungen ausgehen, also auch jenen, wo jeweils nur der eine kodierte, der andere nicht. In den anderen Feldern stehen die Übereinstimmungswerte für den Fall, dass diese 0 -Kodierungen nicht mit gerechnet werden.
Dieses erste Ergebnis zeigt:
1. Der Verfasser (Kodierer A mit Kodierungen zu zt1 und zt2) gelangt nach einem vierwöchigen Abstand zu einer höheren Übereinstimmung als jeweils mit einer außenstehenden Person. Dies verwundert nicht, hier schlägt sich, wie zu erwarten, die höhere Vertrautheit des Verfassers mit dem Kategoriensystem nieder. Erinnerungseffekte bei der wiederholten Kodierung können zwar eine Rolle spielen; da aber auf einen Abstand von vier Wochen mit zahlreichen anderen Tätigkeiten geachtet wurde, tritt dieser Effekt zurück.
2. Die Reliabilität in dieser ersten Untersuchung "leidet" wesentlich durch die Unterschiede bzw. Unklarheiten bei der Einheitenbildung.
3. Werden nur die Einheiten zugrundegelegt, die jeweils in beiden Fällen kodiert werden, fällt die Reliabilität zumindest befriedigend aus, wenn man es an der Komplexität der Materie und der Vielzahl der infrage kommenden Kategorien misst.
In Tabelle 2 werden die Koeffizeinten für die 2. Reliabilitätsuntersuchung angegeben. Es wurden 10 weitere Briefe kodiert.
| alle Kodierungen
ohne 0-Kodierungen |
Kod. A
zt1 |
Kod. A
zt2 |
Kod. B |
| Kod. A zt1 | --- | .78 | .60 |
| Kod. A zt2 | .91 | --- | .59 |
| Kod. B | .73 | .70 | --- |
Tabelle 2: 2. Reliabilitätsuntersuchung
Wiederum sind in den schraffierten Feldern die Werte angebeben, die von allen Kodierungen ausgehen, also auch jenen, wo jeweils nur der eine kodierte, der andere nicht; in den anderen Feldern stehen die Übereinstimmungswerte für den Fall, dass diese 0 -Kodierungen nicht mit gerechnet werden.
Diese Ergebnisse fallen besser aus als in der 1. Reliabilitätsuntersuchung. Dies geht zurück auf die Präzisierungen derjenigen Kategorien, die beim ersten Mal Unklarheiten verursachten, sowie auf eine modellhafte Vorgabe zur Einheitenbildung bei einem Beispielbrief. Weitere Absprachen oder nachträgliches Erarbeiten eines Konsenses fanden nicht statt, weil hier die tatsächliche Übereinstimmung bei der Kodierung im Mittelpunkt stand. Wie beim ersten Mal betrug der Abstand zwischen den beiden Zeitpunkten für die Kodierung A vier Wochen, in denen die kodierten Briefe selbst nicht Gegenstand weiterer Bearbeitung waren.
Die Abweichungen zwischen Kodierung B und den beiden Kodierungen A bestehen in vielen Fällen hinsichtlich desselben Briefes und derselben Kategorie. Für die Optimierung des Verfahrens bei Einsatz durch verschiedene Kodierer würde sich ein Abgleich der verbliebenen Interpretationsunterschiede an dieser Stelle anbieten. Bei dem "Kodier-Dissens" zwischen A und B handelt es sich im wesentlichen um folgende Kategorien:
360: Kampf und Zerstörung
420: Truppe /Soldaten - zur Organisation / Logistik (auf deutscher Seite)
520: Truppe /Soldaten - zur Organisation / Logistik (auf sowjetischer Seite)
662: Zufall, Unsicherheit
694: Abgrenzung / Feindseligkeit gegenüber dem eigenen Lager
721: Bedeutung des Schreibens und Empfangens von Briefen
742: Indirekte Hinweise auf Zensur und Selbstzensur
Diese Kategorien machen mehr als die Hälfte der Fälle
aus, die vom Verfasser (Kodierer A) erkannt, von der Kollegin B nicht gesehen
wurden. Eine Erklärung dafür mag sein, dass der Verfasser gerade
den Kategorien 360, 662, 694, 721 und 742 bei der letzten Bearbeitung des
Kategoriensystems ein Augenmerk geschenkt hatte und daher diesbezüglich
aufmerksamer bei entsprechenden Textstellen reagierte. Wieweit die Unterschiede
in der Wahrnehmung zu den Kategorien 420 und 520 auch eine
geschlechtsrollenspezifische Komponente haben, ist eine interessante, aber
hier nicht näher zu verfolgende Frage.
Festzuhalten bleibt:
1. Es ließ sich eine Erhöhung der Interraterreliabilität durch Training und genauere Fassung der missverständlichen Kategorien aus der 1. Untersuchung erzielen.
2. Das vorgelegte Kategoriensystem unter Einschluss seiner Operationalisierungsregeln erweist sich als geeignet, über verschiedene Kodierer und unterschiedliche Zeitpunkte der Kodierung hinweg die inhaltlichen Strukturen der Briefe übereinstimmend abzubilden. Dies wird deutlich, wenn man nicht nur die Übereinstimmung auf der Ebene der Einzelkategorien zugrundelegt, sondern die Befunde auf der Ebene der zusammengefassten Hauptkategorien auswertet: Die Profile der Themenverteilungen stimmen unabhängig von dem Kodierer und dem Zeitpunkt der Kodierung weitgehend überein.
3. Das Einheitenproblem lässt sich etwas, aber nicht vollständig reduzieren. Verzichtet man auf die Berücksichtigung der daraus entstehenden Nicht-Übereinstimmungen, lassen sich bei den tatsächlich gemeinsam kodierten Einheiten recht gute Übereinstimmungen erzielen.
4. Die Übereinstimmung des Verfassers zu zwei Zeitpunkten liegt erwartungsgemäß höher als mit einer außenstehenden Person. Im Falle der Verwendung des Kategoriensystems durch verschiedene Rater wird man - Einarbeitungszeit und Training vorausgesetzt - von einer befriedigenden Reliabilität ausgehen dürfen. Aussagen, die auf der Grundlage dieses Kategoriensystems zu einer Hauptkategorie gemacht werden, können allerdings immer nur den Interpretationshorizont meinen, der durch die jeweiligen Unterkategorien aufgespannt ist.
Zur Analyse des Inhalts wurden in den 739 Briefen insgesamt 12988 Kategorien vergeben, im Mittel sind dies 17,5 Kategorien, der Median liegt bei 16 Kategorien pro Brief.
Ein methodisches Problem bedarf der Klärung: Wie ist die Brieflänge, die zwischen den Schreibern und auch innerhalb ein und derselben Briefreihe starken Schwankungen unterliegt, bei einer Auswertung zu berücksichtigen? Gibt es eine Beziehung zwischen der Brieflänge und der Anzahl der Kodierungen, die bei der Analyse pro Brief vergeben wurden? Abbildung 2 zeigt den Zusammenhang, hier für die zusammengefassten Daten (je Briefschreiber ein Wertepaar).
Zum Scatterplot: Für zwei Wertereihen - hier Wortzahl und durchschnittliche Anzahl der Kategorien - werden Paare gebildet und der jeweilige Schnittpunkt in einem Koordinatensystem angegeben. Die Linie veranschaulicht den Grad des Zusammenhangs zwischen zwei Variablen ("Lowess" - Anpassung).
Die Korrelation (nach Pearson) zwischen beiden Datenreihen beträgt bei der zusammengefassten Datei (pro Autor je ein Wert) r = .88. Abbildung 2 veranschaulicht diesen hohen linearen Zusammenhang: Je länger ein Brief ist, desto mehr Kodierungen wurden vorgenommen. Ob sich dieser hohe Zusammenhang für die Untergruppierungen - nach Zeitabschnitt, Dienstgrad, Alter, Adressat unterschiedlich darstellt, wurde mit einer Partialkorrelation geprüft, die jeweils den Anteil der Korrelation, der auf diese unabhängigen Variablen zurückgeht, herausrechnet. Der Partialkorrelationskoeffizient beträgt in diesem Fall für die zusammengefassten Daten r = .83. Das heißt, dass nur ein geringer Teil des Zusammenhangs (die Differenz zu .88) auf den Einfluss dieser unabhängigen Variablen zurückzuführen ist, anders ausgedrückt: Bei allen Dienstgrad-, Alters-, Adressatengruppen und in allen Zeitabschnitten ist der Zusammenhang zwischen Brieflänge und Anzahl der Kategorien recht hoch.
Dies ist nicht so trivial, wie es zunächst erscheinen mag. Die Konvention des Kodierens war, dass jeweils ein Thema pro Brief nur einmal in die Auswertung aufgenommen wird, auch wenn es mehrfach an verschiedenen Stellen oder in einer längeren Passage in diesem Brief behandelt wird. Mehrfachkodierung sollte nur dann erfolgen, wenn dasselbe Thema mit von einander inhaltlich unterscheidbaren Aspekten behandelt wird. So fällt auch der Zusammenhang zwischen Brieflänge und Kategorienanzahl für die Einzelkategorien wesentlich geringer aus. Für die Hauptkategorien (Kat. 2.0.0, 3.0.0 usw.; Kat. 6.1.0, 6.2.0 usw.), die aus Summierung der Einzelkategorien entstehen, fällt dieser Zusammenhang erwartungsgemäß deutlich höher aus, weil für eine Summenkategorie mit der Brieflänge die Wahrscheinlichkeit steigt, dass sie in einem oder mehreren ihrer Unterthemen angesprochen wird.
Zwei Wege des Umgangs sind denkbar:
1. Die Analyse auf der Grundlage der Rohdaten.
2. Die Analyse auf der Grundlage von korrigierten Daten.
Die Korrektur erfolgt nach folgender Formel:
Diese Korrektur führt zu einer Gleichgewichtung aller Brieflängen auf der Basis von 1 Seite à 300 Wörtern.
In einigen Fällen wird es sinnvoll sein, auf die Rohdaten zurückzugreifen, z. B. bei einer ersten Bestandsaufnahme über das absolute Vorkommen (Summenbildung) von Themen überhaupt. Anders ist es bei jeder Art des Vergleichs in der Ausprägung der Hauptkategorien: Zwischen den Briefen von Untergruppen, zwischen den Briefen aus einem Zeitabschnitt mit den Briefen aus einem anderen Zeitabschnitt, bei der Beobachtung eines Verlaufs im Einzelfall: Will man nicht in jedem Einzelfall auf die Brieflänge rekurrieren, ist eine Korrektur der Daten geboten, die die Brieflänge als Faktor ausschließt.. Dieses Vorgehen lehnt sich damit an vergleichbare Untersuchungen wie die Sprachinhaltsanalyse nach Gottschalck-Gleser an, bei der ebenfalls über die Textlänge korrigiert wird.(25)
Mithilfe der Aggregierung der Daten über die vier untersuchten Zeitabschnitte sowie über die Personen wird der Zweck erreicht, dass die Briefmenge zu keiner Verzerrung im Vergleich der einzelnen Personen bzw. Untergruppen führt: Jeder Autor geht mit 1 - bzw. bei 4 Zeitabschnitten mit 4 - "Idealbriefen" in die Analyse ein. Im Fall der über die Textlänge korrigierten Daten entspricht die Brieflänge jeweils 1 Seite à 300 Wörtern.
Auch bei den Zusammenfassungen der Daten zum Vergleich anderer unabhängiger Variablen (Dienstgrad, Alter, Adressat, Einsatzort) wird so vorgegangen, dass jeder Briefschreiber mit demselben Gewicht in den Vergleich eingeht, so dass Verzerrungen durch Briefmenge und Brieflänge kontrolliert werden.
Es sei aber hingewiesen darauf, dass diese Lösung so unproblematisch nicht ist, wie sie auf den ersten Blick scheinen mag. Dieses Vorgehen soll gerade wegen seiner augenscheinlichen Plausibilität noch einmal kritisch hinterfragt werden. Auch Argumente, die für eine Analyse auf der Basis der unkorrigierten Rohdaten sprechen, sollen bedacht werden.
1. Die gewählte Konvention, ein Unterthema pro Brief jeweils nur einmal zu kodieren, unabhängig vom Umfang des Auftretens im Brief, steht eigentlich dem "Artefaktverdacht" entgegen, dass ein "Langschreiber" allein aufgrund der Länge seines Briefes gegenüber einem "Kurzschreiber" ein mehr an Kategorien = unterschiedliche Themen pro Brief zugesprochen bekommt. So fallen auch die Zusammenhänge zwischen der Anzahl der Einzelkategorien und der Brieflänge durchweg deutlich geringer aus. Für das Verfahren der Korrektur spricht aber, dass in der Tat bei der Summenbildung ein Brief schon wegen seiner Länge höhere Scores erzielt.
2. Eine Korrektur, die alle Kategorien in gleicher Weise behandelt, geht davon aus, dass der Faktor Textlänge in gleicher Weise die Auftretenswahrscheinlichkeit aller Kategorien beeinflusst. Diese Annahme bedarf zumindest der Prüfung. Wo dies nämlich nicht zutrifft, wird durch die Relativierung über die Textlänge eine Kategorie im Vergleich über-, eine andere unterbewertet.
3. Im Grunde ist es eine Frage der Interpretation: Bei der Befürwortung der Datenkorrektur geht man davon aus, dass die Brieflänge eine Störvariable darstellt, die zu verzerrten Ergebnissen führt. Ist diese Annahme berechtigt? Ist bei einem Vergleich zwischen zwei Untergruppen, von denen die eine lange, die andere kurze Briefe schreibt, die Länge die Ursache für den Unterschied in der Kategorienhäufigkeit, wie es die Korrektur über die Textlänge unterstellt? Oder ist es vielmehr ein Persönlichkeits- bzw. Gruppenmerkmal, dass mehr Themen in einem Brief zur Äußerung "drängen" und daher die Briefe auch länger werden? In diesem Fall würde man durch das Herauskorrigieren dieses Faktors Unterschiede nicht wahrnehmen, die der Beachtung wert sind.
Zur Veranschaulichung ein Beispiel: Die Abbildungen 3 - 5 zeigen im Vergleich der Dienstgradgruppen die Unterschiede in der Brieflänge und in der Kategorie 680: "Abwehr und Vermeidung".
blau = Mannschaft
weiß = Unteroffizier
Abbildung 3 zeigt - hier angegeben durch den Median der Wortzahl - dass die
Unteroffiziere in den vier Zeitabschnitten längere Briefe schreiben
als die Mannschaftssoldaten. Dieser Abstand wird im 3. Zeitabschnitt besonders
deutlich.
Abbildungen 4 und 5 zeigen Boxplots über die Entwicklung des Themas "Abwehr und Vermeidung" (Kat. 680) auf der Basis der Rohdaten (Abb.4) bzw. der korrigierten Daten (Abb. 5). Das unterschiedliche Resultat zusammengefasst: Die Unteroffiziere zeigen in ihren Briefen durchweg mehr Äußerungen dieser Kategoriengruppe als die Mannschaftssoldaten, wenn man von den absoluten Häufigkeiten ausgeht. Bei der Korrektur über die Brieflänge wird dieser "Vorsprung" relativiert, für die letzten beiden Zeitabschnitte sogar umgekehrt. Denn relativ zu derselben Textmenge (korrigierte Daten) schreiben die Mannschaften von Herbst 1942 an mehr Äußerungen, die auf eine Abwehr in dem durch die Einzelkategorien (Kat. 681 ff.) definierten Sinne schließen lassen. Durch die Relativierung der Brieflänge wird also erst eine Interaktion zwischen den Faktoren Zeit und Dienstgrad erkannt, die bei Gleichgewichtung aller Briefe unabhängig von ihrer Länge nicht hervortritt. Auch innerhalb der Gruppen ergeben sich unterschiedliche Resultate: Steigt z. B. bei den Unteroffizieren der absolute Wert vom 1. zum 4. Zeitabschnitt an (Rohdaten: Medianwerte von 1,67 auf 2,02), sinkt er in der auf jeweils eine Seite Brieflänge relativierten Fassung ab (korrigierte Daten: Medianwerte von 1,46 auf 1,31).
Krassere Beispiele sind denkbar, in denen auf Grund der differierenden Brieflänge die Unterschiede in den Ergebnisse noch mehr auseinandergehen. Für die Interpretation bedeutet dies, dass in dem hier gewählten Regelfall - den korrigierten Daten als Ausgangsbasis - immer nur gelten kann, dass die Ergebnisse sich auf egalisierte Briefumfänge beziehen, also jede Aussage um so mehr Gewicht bekommt, in je kürzeren Briefen sie auftritt. Dies ist inhaltlich einerseits sinnvoll: Wer kurze Briefe schreibt und darin immer dieselben wenigen Themen behandelt, gibt diesen dadurch ein größeres Gewicht als jemand, bei dem diese Themen in vielen anderen "untergehen". Andererseits sollte dann, wenn es systematische Unterschiede zwischen Untergruppen in den Brieflängen gibt, mitbedacht werden, dass nicht die Brieflänge die "Ursache" für ein größeres Gewicht eines Themas sein muss, sondern ebenso umgekehrt, vielleicht sogar eher, die jeweilige Thematik die Gruppe der "Langschreiber" stärker bewegt, so dass die Länge eine Folge dieses Merkmals darstellt.
Überdies wird man durch eine Relativierung über die Textlänge, die aus pragmatischen Gründen für alle Daten dieselbe sein wird, nur dann ein Ergebnis erhalten, das die Daten korrekt abbildet, wenn der Faktor "Brieflänge" auf das Vorkommen aller Kategorien in gleicher Weise zurückwirkt, wenn also ein Autor mit einem längeren Brief gleichmäßig in allen Kategorien stärkere Ausprägungen erzielt als ein anderer mit einem kürzeren Brief. Dies ist nicht unbedingt zu erwarten. Sehr viel wahrscheinlicher ist, dass sich die "Schreibbreite" bei den Briefschreibern auf spezifische Themen erstreckt, evtl. auch persönlichkeitsbedingt auf je individuelle Themen (wie z. B. Anliegen von Haus und Hof; Verarbeitung von Schrecken im Krieg usw.) Es könnte also geradezu eine Verzerrung der Ergebnisse zur Folge haben, wenn man jede der Kategorien in gleicher Weise über die Textlänge "korrigiert". Dies hat zur Folge, dass derselbe Satz, beispielsweise eine kurze prägnante Äußerung über den Hunger, den der Soldat erleidet, in einem "langen" Brief geäußert, dann weniger Gewicht bekommt als in einem "kurzen" Brief. So plausibel es erscheint, dass für den "Kurzschreiber" das eine genannte Thema ein vergleichsweise hohes Gewicht hat, so gewagt kann es im Einzelfall sein, bei einem langen Brief auf die geringere Bedeutung eines Themas für den Autor zu schließen, bloß weil es mit vielen anderen Themen zusammen erwähnt wird. Daher sollten in einzelnen dann zu kennzeichnenden Vergleichen auch die absoluten Werte (mit den Rohdaten als Basis) herangezogen werden.
Abschließend sei der Grad des Zusammenhangs zwischen der Brieflänge und der Häufigkeit der Kategorien für die beiden Versionen - unkorrigiert und korrigiert - dargestellt. Tabelle 2 zeigt die Korrelationen zwischen der Brieflänge (Wortzahl) und den Hauptkategorien (Kat. 200, 300...; Kat. 610, 620 usw.). Angegeben sind die Koeffizienten nach der Kendall-Rangkorrelation, hier auf der Basis der zusammengefassten Daten (n = 25 Briefschreiber).

Für die 14 Hauptthemen in Tabelle 2 gibt die mittlere Spalte (Rohdaten) den Zusammenhang zwischen Brieflänge und Häufigkeit der Kategorie für die unkorrigierten Daten wieder. Der hohe Gesamtzusammenhang zwischen Brieflänge und Gesamtzahl der Kategorien (r. = 88) betrifft nicht alle Kategorien in gleichem Maße, er wird aber in 12 von 14 Fällen signifikant oder sogar hochsignifikant. So erweist sich die Korrektur über die Textlänge auch als kein Weg, um alle Zusammenhänge zwischen Textlänge und Kategorienhäufigkeit gleichmäßig auszusparen (rechte Spalte). Immerhin sinken die Zusammenhänge in den meis-ten Fällen deutlich, was dafür spricht, dass nun der Faktor Textlänge kontrolliert ist. Bemerkenswert sind die vier Hauptkategorien (Kat. 300, 610, 640 und 700) bei denen der Zusammenhang durch die Korrektur (hoch-) signifikant negativ wird. Inhaltlich bedeutet dies, dass diese Kategorien durch die Korrektur über die Länge systematisch bei kürzeren Briefen stärker, bei längeren Briefen weniger ins Gewicht fallen. Wir erfahren auf diesem Wege etwas über einen möglichen systematischen Unterschied zwischen kurzen und langen Feldpostbriefen, wenn wir die jeweilgen "Anker-Kategorien" dieser Hauptthemen näher betrachten. Tabelle 3 zeigt die Zusammenhänge für diejenigen Einzelkategorien, bei denen der Zusammenhang durch die Korrektur signifikant negativ wird.
Kat. 310: Der "normale" Dienstalltag
Kat. 320: Verpflegung (bzw. Fehlen der Verpflegung;, Hunger, Durst)
Kat. 330: Kleidung; alltägliche Bedarfsgegenstände
Kat. 350: Klima / Wetter
Kat. 354: Kälte / Frost / Schnee
Kat. 613: Konkrete Bitten um Sendungen
Kat. 642: Gegenseitige Versicherung der Zuneigung
Kat. 643: Beruhigung der Briefpartner/in über die eigene Lage
Kat. 644: andere Angehörige / Bekannte: Erkundigung, Anteilnahme
Kat. 710: Bestätigung von Briefempfang; Hinweis auf eigene Sendungen
Kat. 720: Schreibhaltung und Schreibsituation.
Auf der Basis der unkorrigierten Daten (mittlere Spalte) gibt es bis auf die Kategorien 310, 320 und 642, die mit zunehmender Brieflänge auch in differenzierterer Ausführung wiederholt werden, keinen systematischen Zusammenhang zur Brieflänge. Bei den korrigierten Daten (rechte Spalte) gibt es aber bei diesen Themen - und damit bei den entsprechenden Hauptkategorien - eine systematische Verzerrung: Sie hängt damit zusammen, dass es sich bei diesen 11 Einzelkategorien (von insgesamt ca. 90 Einzelkategorien) um "Standardthemen" handelt, die auch in vielen kürzeren Briefen ihren Platz finden. So entsteht durch die Korrektur über die Brieflänge der Eindruck, als würden sie von den "Kurzschreibern" häufiger geäußert; dies ist aber nicht absolut, sondern nur relativ zur Textlänge der Fall.
Bis auf diese Einschränkungen kann der Faktor Brieflänge bei den vergleichenden Untersuchungen, die auf den korrigierten Daten aufbauen, als kontrolliert betrachtet werden. Wenn es inhaltlich sinnvoll erscheint, sollen die absoluten Vorkommenshäufigkeiten ergänzend herangezogen werden.
In Thesen seien einige Ergebnisse zusammengefasst,(26) unter dem Gesichtspunkt der Bedeutung der Feldpostbriefe (FPB)
1. für die Schreiber und Empfänger/innen
2. für offiziöse Informationspolitik / Propaganda
3. für die Nachfahren
4. für die Forschung?
1.1 Für Schreiber und Empfänger/innen liegt die Bedeutung der FPB zunächst und vor allem darin, dass sie ein Lebenszeichen sind in Phasen hoher Gefährdung. Daher rührt die vorrangige Bedeutung von "Standardthemen" wie Bestätigung von Postempfang, Auskunft über eigene Sendungen, Hinweise auf Posttransportprobleme. Der breite Raum, den solche Standardthemen einnehmen, ist auch eines der Unterscheidungsmerkmale zum Brief in 'normalen Zeiten'.
1.2 Zum Brief in 'normalen Zeiten' grenzt sich der FPB inhaltlich dadurch ab, dass jede Darstellung unter der möglichen Drohung des Endgültigen steht. Zwar erhalten damit die FPB durchaus nicht den Grundton von Vermächtnisbriefen, aber gerade bei zentralen Anliegen müssen die Schreiber mitbedenken, dass spätere Richtigstellungen oder Ergänzungen eventuell nicht möglich sind. Lange Laufzeiten beladen zudem jede mit dem Brief verbundene Steuerungsabsicht mit einem erhöhten Impetus bei gleichzeitig schwindender Kontrollmöglichkeit. Mit den Äußerungen zu "Liebe und Partnerschaft", die die Briefe dominieren, entspricht der FPB mehreren Aufgaben:
a) Der Schreiber stabilisiert oder klagt ein die Zuverlässigkeit der Bindung / Treue.
b) Der Brief benennt / ggf. suggeriert die Bereitschaft des Schreibers, seinen Anteil dazu beizutragen (Aufrechterhaltung der Treue; besonders in Ehepaarbriefen im Unterschied zu den Elternbriefen der jüngeren Soldaten auch durch die Hintanstellung der "Kameradschaft" gegenüber den Werten der Ehe).
c) Der Brief schafft damit kompensatorisch eine Gegenwelt der Sicherheit, Geborgenheit, Wärme und relativer Selbstbestimmung in einem Umfeld, das bestimmt ist durch Bedrohung, physische und psychische Belastungen aller Art und "die Aufgabe des persönlichen Ichs".
d) Als liebes- und verantwortungsfähiges Familienmitglied 'erschreibt' sich der Soldat ein selbstwertstützendes Selbstbild und gleicht damit selbstwertbedrohliche Erfahrungen aus.
1.3 Der FPB dient beiden Seiten in einer Zeit extrem divergierender Lebenserfahrung, eine Kompatibilität in ihrer Kommunikation aufrecht zu erhalten oder erneut herzustellen. Insgesamt ist ein Prozess des sich Verschließens und des zunehmenden Beschweigens von existentiellen Kriegserfahrungen anhand der Quelle FPB nachzuzeichnen. Es findet ein - hier indirekt zu erschließender - wechselseitiger Erziehungsprozess statt. Dies tritt auf der Grundlage von Briefserien derselben Schreiber mithilfe der zeitlichen Segmentierung der Untersuchungseinheiten sowohl in quantitiver wie qualitativer Hinsicht zutage.
1.4 In den Briefen wird ein selbststabilisierendes Feindbild vermittelt, vor allem in den ersten Monaten des Krieges. In Abgrenzung von "Schmutz" und "Unterentwicklung" im besetzten Land wird der konsensuelle Schulterschluss mit der heimischen Wertegemeinschaft (Sauberkeit, Ordnung, kulturelle Überlegenheit) gesucht. In dem Maße, wie die Suche nach kulturell-ideologischer Übereinstimmung parallel zur bedrohlichen Konfrontation mit dem Feind festzustellen ist, entspricht dies den Annahmen der "Terror-management-Theorie" (in Anlehnung an Pysczcynski(27)).
1.5 Erkennbar wird in der zeitlichen Analyse, dass die anfängliche Siegeserwartung bereits im Herbst 1941 auf Dauer verloren ist - seit dieser Zeit muss bereits gegen die (latente) Niederlageerwartung angeschrieben werden.
1.6 Themen wie "Feindbeschreibung", aber auch Überdruss, erfahren eine Abnahme im Lauf des Krieges, die kaum mit einer Abnahme der Bedeutung dieser Themen im Kriegsverlauf korrespondiert. Die "Entmodernisierung der Front" (Bartov(28)) - also das eigene Versinken in Schlamm und Schmutz wie der zunehmende Verlust einer "modernen", technisch überlegenen Kriegsführung - lassen die vormalige Abgrenzung vom Feind schwerer werden. Zudem setzen Prozesse der Gewöhnung und Abstumpfung ein.
1.7 Ähnlich ist ein Wandel der Kampfbeschreibungen zu beobachten: Sind sie zu Anfang noch erschreckt detailliert, kommt es immer mehr zu pauschalen Aussagen. Abgesehen von der Angst um die Angehörigen (Verlust, Untreue) beschreiben die Soldaten das, was ihnen selbst im Krieg Angst macht, immer weniger. Die Schreiber schützen sich damit vor den sekundären Folgen, die sie in Form von ängstlichen Nachfragen von zu Hause zu spüren bekommen und drücken damit indirekt auch die zunehmende Unmöglichkeit aus, das Erlebte durch Versprachlichung zu bewältigen. In einem Umfeld, in dem sie sich resistent zu machen versuchen gegenüber spezifischen Stressoren des Krieges, steigt die Anfälligkeit gegenüber weitergehenden Stressoren, zu denen die heimische Beunruhigung zählen kann, zumal diese sich ihrer (kognizierten) Kontrolle entzieht. Antizipatorisch vermeiden sie mit zunehmender Erfahrung angstinduzierende Schilderungen und erziehen sich zu 'verträglicher Dosierung' der Mitteilungen. Diese Entwicklung ist auch eines der wenigen Beispiele dafür, dass einige Schreiber zu metakommunizierenden Äußerungen über ihre Schreibhaltung vorstoßen, sei es durch Hinweise auf selbstzensierendes Schreiben ("darüber später mehr") oder durch die explizite Benennung der Schonungsabsicht.
1.8 Wo in der Not doch angstbesetzte Themen durchbrechen, wählen die Schreiber nicht selten Sprachhandlungsstrategien wie Bagatellisierung oder "Alltagstheorien" ("es geht alles vorüber", "nach Regen kommt Sonnenschein", "nicht jede Kugel trifft") die selbst wiederum in der zeitlichen Entwicklung eine Klimax der Aufspaltung zwischen Erleben und Vermittlung des Erlebten durchscheinen lassen.
1.9 Damit werden auch Signale gesetzt, was nicht weiter hinterfragt werden soll. Mit dem 'modus scribendi' entsteht ein 'modus vivendi'. Was die Angehörigen zuhause erfahren, nehmen sie als Zeugnisse des Erlebten. So entsteht / stabilisiert sich bei den jeweiligen Briefempfängern ein Weltbild, das ihnen die 'Zeugen' an der Front vermitteln. Hinterfragen könnten sie es in den Segmenten, die sie aus eigenem Erleben kennen (persönliche Züge etc.), kaum aber auf den Gebieten des Kriegshandelns, wo ihnen mit der eigenen Erfahrung auch die sprachlichen Ausdrucksmöglichkeiten fehlen. Die Empfänger/innen müssen sich mit der dargebotenen Schilderung 'aus erster Hand' zufrieden geben. Die Bedeutung, die die FPB damit für die Selbstvergewisserung und für ein gutes, schattenfreies Selbstbild (auch in der Nachkriegszeit) haben, ist eine bisher nicht erforschte Frage zur Wirkungsgeschichte.
2.1 Hier setzt die Bedeutung der FPB
für die Propaganda ein. FPB waren ein Objekt der Zensur, ebenso aber
des Versuchs, durch 'Briefsteller' die gewünschte Schreibhaltung zu
vermitteln. FPB sollten eine "Waffe" sein. Wieweit die diesbezüglichen
"Mitteilungen an die Truppe" allerdings bis auf die Ebene der Kompanien
weitergeleitet und dort vermittelt wurden, ist nicht klar. Anhand
größerer Briefcorpora in zeitlicher Nähe zu solchen Briefstellern
könnte deren Durchschlagskraft untersucht werden (anhand der
Übereinstimmung bestimmter Argumente und Schlagwörter).
2.2 Es entsteht die Frage, ob die FPB im Fadenkreuz von Zensur und Manipulation die ihnen zugedachte Aufgabe erfüllten. Die These: Auf einer vordergründigen Ebene oft nicht - auf einer hintergründigen Ebene durchaus.
a) Besonders im ersten Herbst und Winter 1941/42 transportieren die FPB zahllose Klagen nach Hause, gipfelnd in dem unverhohlen geschriebenen Wunsch, dass bald Schluss sein möge. Auch entziehen sich die FPB weitgehend dem Ansinnen, den Ideen vom "Heldentod" und der Mystifizierung des Opfers ohne Anspruch auf einen anderen Ausgleich als den des Nachruhms das Wort zu reden; die ideologischen Anforderungen brechen sich an den Wünschen der Selbsterhaltung, was auch dazu führte, dass die von der Propaganda zunächst dafür vorgesehenen "Letzten Briefe aus Stalingrad" wieder in der Versenkung verschwanden, weil sie zu wenig hergaben, was einen 'stolzen Kampf' hätte dokumentieren können.
b) Andererseits: In wesentlichen Grundfragen - Vorurteile, nationale Stereotypen, kulturelle Überlegenheit, Berechtigung des eigenen Kriegshandelns in allen seinen Facetten, gerechtfertigt als 'vorsorgliche Verteidigung' - klingt in den FPB immer wieder Übereinstimmung mit ideologischen Vorgaben des Regimes an, so dass nicht nur auf der Ebene der Wehrmachtsführung, sondern auch bei den einfachen Soldaten von einer "Teilidentität der Ziele" (Messerschmidt) auszugehen ist. Nur im Ansatz entsteht ein Gegengewicht durch vereinzelte, im Zeitverlauf bei den älteren, verheirateten Soldaten zunehmende kritische Äußerungen gegenüber dem eigenen Lager, mit denen sich einige Schreiber Luft machen und eine Lockerung, allerdings keine Auflösung der bisherigen Zielbindungen erkennen lassen.
c) Binnendifferenzierung zeigt, dass unter den dienstranghöheren Angehörigen der Mittelschicht, die insgesamt ausführlicher und elaborierter schreiben als die Mannschaftsdienstgrade, auch eher die Stützen der herrschenden Ideologie zu finden sind. Insbesondere die "Aufsteiger" nehmen sich der Aufgabe einer von Ehrgeiz getragenen inneren Mobilisierung an.
d) In der Alternativlosigkeit eines von Front und Wehrgerichtsbarkeit eingegrenzten Lebensfeldes lag angesichts der Teilhabe an der Brutalisierung des Krieges im Osten die Hoffnung vieler nur in der Erreichung des eigenen Sieges oder zumindest eines Macht-Friedens. Projizierte ein Soldat im Brief die Erfahrung des Vernichtungskrieges auf das, was die Heimat bei einer Niederlage zu erwarten hatte, trug er mit Durchhalteappellen im Sinne des Regimes zur Stabilisierung bei. Auch das Feldpostwesen selbst trug zur fortdauernden Loyalität bei, war es doch die eigene Seite, die den Bestand dieser lebenswichtigen Verbindung garantierte.
e) Über den Einfluss propagandistischer Wörter hinaus ("Blitzkrieg", "Endsieg", "Einkesselung", "Vernichtungsschlacht") wäre die subkutane Infiltration der "Lingua Tertii Imperii (Victor Klemperer(29)) in die Sprache der FPB zu untersuchen: z. B. der Gebrauch von Superlativen, von hohen Zahlen, des Wortes "total", von Übertreibungen aller Art. Hierzu könnte eine computerunterstützte Inhaltsanalyse hilfreich sein.
3.1 Für Menschen in Nachkriegszeiten ist der Unterschied der FPB-Rezeption zwischen erstem und zweitem Weltkrieg bemerkenswert. Gerieten FPB in den 20er Jahren in einen öffentlichen Meinungsstreit, fristeten sie nach 1945 ein Dasein in einigen populären Anthologien, tauchten aber erst 40 Jahre nach Kriegsende als Gegenstand der Forschung auf. Sie teilten damit das Schicksal persönlicher Kriegserfahrung, die vom familiären wie gesellschaftlichen Diskurs lange Zeit abgespalten wurde. Die Krieger selbst schufen mit einer Flut grauer Literatur ("Alte Kameraden") ein Forum, in dem sie ihre Erinnerung organisierten, was aber den vorherrschenden Zug des Beschweigens wesentlicher Kriegserfahrung eher verdeckte. Ritualisierte Erzählung trat an die Stelle von Erkenntnis und Aufklärung.
3.2 FPB führen die Nachkriegsgenerationen an die Entstehungsstelle des Beschweigens zurück. Die Lektüre macht Prozesse verstehbarer (ohne dass sie dadurch akzeptabel werden). An die Stelle harscher Abgrenzung tritt die dann nicht mehr nur kognitive, sondern auf Nachvollzug gegründete Erkenntnis, sich von der Eltern- und Großelterngeneration in Grundfragen situationell bedingter Verführung und Verfügbarkeit weit weniger zu unterscheiden, als es die Lagertheorien der ersten Nachkriegsjahrzehnte glauben machten. Hiermit entsteht ein weites Feld von friedenspädagogisch relevanten Fragen: etwa ob es bei der Verfügbarkeit unter autoritären Rahmenbedingungen anthropologische Grundkonstanten gibt oder - in einem interaktionistischen Ansatz - ob eine Weiterentwicklung ethischer Standards überhaupt möglich ist, die - verteidigt zumindest von qualifizierten Minderheiten - ihre Bewährungsprobe gerade in Situationen eingeschränkter Handlungs- und Denkfreiheit gegenüber vielfältigsten Trägheitsmomenten zu bestehen hätten: letztlich also die durchaus psychologische Frage, ob Menschen aus der Geschichte lernen können.
4.1 Der Wert der Quelle FPB für
die Erforschung der Innenansichten des Krieges liegt in der Zeitzeugenschaft
und der Unmittelbarkeit der Darstellung, die allerdings immer durch die
Kommunikationsabsicht der Briefe gebrochen ist. Nicht ein Abbild der
tatsächlichen Abläufe, Einstellungen, Kognitionen und Emotionen
liegt vor, dennoch aber eine Nahaufnahme, wie sie näher kaum zu haben
ist. Dies steigert die Bedeutung der Quelle, weil beides zugleich Thema werden
kann: die erfahrene Realität des Krieges (die in zahllosen traditionellen
militärhistorischen Abhandlungen eher herausdestilliert wird), wie die
subjektive Aneignung des Erlebten durch sprachliche Mitteilung und die Grenzen
dieses Prozesses.
4.2 Ein hermeneutisches Grundproblem: Wieweit wird die Aussagekraft der Quellen dem selegierenden Bedürfnis des Interpreten dienstbar gemacht - durchzieht den fortdauernden Streit gerade in der Deutung des Krieges gegen die Sowjetunion. Wehrmachtsausstellung und Goldhagen-Debatte(30) zeigen die Sprengkraft wie die Limitiertheit solcher Deutungsversuche. Das hier gewählte 'Zwei - Schritt - Verfahren': eine kontextärmere, dadurch reliabel reproduzierbare Kategorisierung mit quantifizierbaren Ergebnissen und die anschließende qualitative Interpretation der Themen im historischen und subjektiven Kontext ist ein Versuch, das Ganze der Quelle zu erfassen, das Einzelne in seiner Gewichtung angemessen zu würdigen und zu intersubjektiv nachvollziehbaren Befunden zu gelangen, die jenseits von Konjunkturen Bestand haben.
1.0.0. Allgemeine Briefmerkmale
2.0.0. Der Krieg - allgemein
2.1.0. Perspektiven des Kriegsverlaufs (zur allgem. Kriegslage, vgl. 6.5.0)
2.1.1. Erwartung von Erfolg / Sieg; optimist. Einschätzung
2.1.2. Erwartung von Misserfolg / Niederlage; pessimist. Einschätzung
2.1.3. Ausdruck von Ungewissheit
2.1.4. Zeitperspektiven
2.2.0. Einschätzungen zur allgemeinen politischen Lage
2.3.0. Besondere historische und kriegshistorische Ereignisse
2.3.1. In der Sowjetunion
2.3.2. Auf anderen Schauplätzen
2.9.9. Residual (für alle Themen zu 2)
3.0.0. Der
Kriegsalltag
3.1.0. Der "normale" Dienstalltag
Arbeit, Marschieren, Wache halten, Stillstand, "Leerlauf"
3.2.0. Verpflegung (bzw. Fehlen von Verpflegung: Hunger - Durst)
3.3.0. Kleidung; alltägl. Bedarfsgegenstände
3.4.0. Unterbringung
3.5.0. Klima / Wetter
3.5.1. Jahreszeiten (wenn ausdrücklich benannt)
3.5.2. Regen (Schlamm, Tauwetter, Glatteis)
3.5.3. Hitze / Trockenheit (Staub)
3.5.4. Kälte / Frost / Schnee
3.6.0. Kampf und Zerstörung
3.7.0. Verwundung und Tod
3.8.0. Krankheiten
3.8.1. Organische Leiden
3.8.2. Psychische und psychosomatische Beschwerden; nervliche Belastung
3.9.0. Weitere Widrigkeiten / "alltägl. Stressoren"
schlechte Hygienebedingungen, Strapazen, Erschöpfung, Enge
3.9.9. Residual (für alle Themen zu 3)
4.0.0. Die Deutschen und ihre Verbündeten
Wahrnehmung und Einschätzung des eigenen Lagers
4.1.0. Führung
4.1.1. Hitler / "Führer"
4.1.2. NS-Führung, Partei, zivile Führungsstellen
4.1.3. Militärische Führung (Generäle / Kommandeure / Vorgesetzte)
4.2.0. Truppe / Soldaten - Organisation / Logistik
4.3.0. Heimat und Zivilbevölkerung (allgemein; speziell s. 6.4.0.)
4.4.0. Verbündete
4.4.1. Italiener
4.4.2. Japaner
4.4.3. Sonstige
4.9.9. Residual (für alle Themen zu 4)
5.0.0. Die Russen und ihre
Verbündeten - Das Feindbild
5.1.0. Führung
5.1.1. Stalin
5.1.2. Leitende Funktionäre / führende Kommmunisten
5.1.3. Militärische Führung (Generäle / Kommandeure); Kommissare
5.2.0. Truppe / Soldaten
(Ausstattung / (Droh-) Potential; Eigenschaften, Verhalten)
5.3.0. Gefangene
5.4.0. Partisanen
5.5.0. Juden
5.6.0. "Land und Leute" - Zivilbevölkerung allgemein;
System, Verwaltung; Kultur
5.7.0. Andere Kriegsgegner
5.9.9. Residual (für alle Themen zu 5)
6.0.0. Themengruppe 2: Werte
- Motive - Emotionen - Handlungen
6.1.0. Abhängigkeit und Hilfsbedürftigkeit ("on"/ "dependency")
6.1.1. Wunsch nach Anteilnahme, Briefkontakt, Mitleid, Fürbitte
6.1.2. Informationssuche; "Froschperspektive"
(wenn es den Schreiber betrifft; Abgrenzung zu 6.4.2.)
6.1.3. Konkrete Bitten um Sendungen sowie um Erledigungen
(Bitte um Lebensmittel, Gebrauchsgegenstände, Lektüre,
Erledigungen von Behördengängen - vgl. 6.5.3.)
6.1.9. Residual
6.2.0. Aufnahmebereitschaft
und Erwartung ("from" und "for")
6.2.1. Neugier und Interesse; Interesse an Kultur, Sprache, Natur
6.2.2. Glück, Freude, Erleichterung
6.2.3. Selbständige Beschäftigungen; Hobbies (Lesen, Fotografieren); aktive Gestaltung; Kreativität
6.2.4. Selbstbeobachtung und Selbstreflexion "Verwunderung" über sich / über die eigene Entwicklung
6.2.9. Residual
6.3.0. Geselligkeit und Anschluss ("toward" /"affiliation")
6.3.1. Kameradschaft; gegenseitige Hilfe und Rettung; Anteilnahme am
Geschick anderer Soldaten; auch: Beschwerde über Kameradschaft
6.3.2. "Landseridyllen", Amusement, Unterhaltung, Spa, Feiern
6.3.3. Intimität, Erotik, Sexualität (an der Front)
6.3.4. Verbindung zur Heimat (Radio / Wochenschau)
6.3.5. "Anschluss" an den Gegner: positive Kontakte mit der Zivilbevölkerung; Mitleid; "Fraternisierung"
6.3.9. Residual
6.4.0. Liebe und Partnerschaft
("with")
6.4.1. Intimität, Sexualität (bezogen auf Partnerin zuhause)
6.4.2. gegenseitige Versicherung der Zuneigung, Anteilnahme, Treue bezogen auf engere Familie: Briefpartnerin, Eltern, Kinder
6.4.3. Beruhigung (der Briefpartner/in über eigene Lage)
6.4.4. andere Angehörige / Bekannte: Erkundigung, Anteilnahme
6.4.9. Residual
6.5.0. Herrschaft und Kontrolle
("over")
6.5.0. a Einzelthemen 6.5.1. + 6.5.2.: Herrschaft und Kontrolle über den Feind
6.5.1. Überlegenheitsgefühl, Stolz, Selbstbehauptung, Sieg,
(bei eigener Beteiligung, sonst 2.1.1.)
6.5.2. Erbeuten, Aneignen, "Organisieren"
6.5.3. "Kontrolle" der Heimat: Aufträge, dringende Ratschläge, Vorwürfe, Ermahnungen gegenüber Adressat/in (im Vgl. zu 6.1.3.: schärfer, dringender, fordernder)
6.5.9. Residual
6.6.0. Unterlegenheit und Kontrollverlust ("under")
6.6.1. Übermacht des Gegners / Niederlage / Rückzug erleben / erleiden (bei eigener Beteiligung, sonst 2.1.2.)
6.6.2. Zufall; Unsicherheit (wenn pers. betreffend; sonst 2.1.3.) ("nicht wissen,was morgen passiert") plötzlicher Wechsel; persönl Bedrohung
6.6.3. Der Kontrolle / dem Druck der eigenen Seite unterworfen sein Drill; Regeln, Auflagen; Gruppendruck; Vergleiche (mit anderen milit. Einheiten / mit "älteren Soldaten")
6.6.4. Appell zu Selbstkontrolle und Durchhaltewillen
6.6.5. Angst, Sorge, Schrecken
6.6.6. Traurigkeit, Resignation, Ausweglosigkeit, Verzweiflung
6.6.9. Residual
6.7.0. Orientierungen, Ziele und Lebensanschauungen ("by")
6.7.1. Ideale und Vorbilder; Vertrauen in NS-Ideologie und Propaganda; Wertung beim Systemvergleich
6.7.2. Abgrenzung zu kollektiven Vorgaben; Scham, Schuld, Selbstzweifel
6.7.3. Persönliche Zielvorstellungen; (Lebens-) Pläne für später;
6.7.4. Ehrgeiz; Streben nach Anerkennung ("Leistungsmotiv"), Mut Bedeutung von Orden, Ehrungen und Beförderungen;
6.7.5. Sinnsuche und Sinnstiftung; allgemeines Menschenbild; Rechtfertigung für das eigene Handeln, Rationalisierungen
6.7.6. Historische Deutungsmuster - Vergleiche mit "früher"
6.7.7. Religiöse und quasireligiöse Deutungsmuster ("mit Gottes Hilfe"; "es hilft nur beten"; "Schicksal")
6.7.9. Residual
6.8.0. Abwehr und Vermeidung ("away from")
6.8.1. Überdruss, Widerwillen, Ekel, Grauen
6.8.2. Gewöhnung, Gleichgültigkeit, Abstumpfung, Apathie
6.8.3. Redensarten, Bagatellisierung, Galgenhumor, Ironie
6.8.4. Hoffnungen: auf Kriegswende / Wunderwaffen; auf Schutz / Unversehrtheit; Aberglaube
6.8.5. Sehnsucht nach Heimkehr / Urlaub / Wiedersehen (auch in der Negation: "leider kein Urlaub")
6.8.6. (Tag-) Träume, Sehnsüchte (auer zu 6.8.5.)
6.8.7. Gerüchte, Vermutungen
6.8.8. Todeswunsch; Selbstverstümmelung; Wunsch nach Verwundung
6.8.9. Residual
6.9.0. Feindseligkeit ("against")
6.9.0. a Einzelthemen 6.9.1. + 6.9.2.: Feindseligkeit gegenüber den Russen
6.9.1. Hass, Wut, Rache; Mordlust; Grausamkeit; Wortfeld "töten"
6.9.2. Verachtung; Misstrauen; Abscheu; Abwertung des Gegners / der gegnerischen Bevölkerung
6.9.3. "Faszination" von Krieg und Kampf (Krieg als "Schauspiel")
6.9.4. Abgrenzung / Feindseligkeit gegenüber dem eigenen Lager: Ärger, Groll; Neid, Eifersucht, Missgunst, Missmut; Kritik an polit. und milit. Führung; "Rebellion"
6.9.9. Residual
7.0.0. Themengruppe 3: Metakommunikation: Über die Feldpost
7.1.0. Bestätigung von Empfang - Hinweis auf eigene Sendungen
7.2.0. Beschreibung der eigenen Schreibhaltung und -situation
(Begründungen für das Schreiben oder Nichtschreiben)
7.2.1. Bedeutung des Schreibens und Empfangens von Briefen
7.3.0. Behinderung der Kommunikation durch Transportprobleme
7.4.0. Zensur
Anmerkungen
1. W. Deist: Der deutsche Angriff auf die Sowjetunion (1991). In: Ders.: Militär, Staat und Gesellschaft. Studien zur preußisch deutschen Militärgeschichte. (Beiträge zur Militärgeschichte, Hrsg. v. MGFA, Bd. 34) München 1991 S. 369 f.
2. Das Buch M. Humburg: Das Gesicht des Krieges - Feldpostbriefe von Wehrmachtssoldaten aus der Sowjetunion 1941 - 1944. Wiesbaden (Westdeutscher Verlag) 1998 entstand auf der Grundlage einer Dissertation an der Universität Gießen, FB Psychologie und Geschichte (1998).
3. Fragen der Repräsentativität tauchen bei einer solchen Stichprobenauswahl zwangsläufig auf. Lösungen ließen sich finden vor allem mit Rückgriff auf die Überlegungen von Cook und Campbell zum "quasiexperimentellen Design", das auch innerhalb kleiner Stichproben auf die Möglichkeit des Binnenvergleichs zwischen Untergruppen abhebt. T. D. Cook / D. T. Campbell: The design and conduct of quasiexperiments and true experiments in field settings. In: M. D. Dunette (Ed.): Handbook of industrial and organizational psychology. Chicago 1976. S. 223- 326.
4. K. Krippendorf: Content analysis. An introduction to its methodology. Beverly Hills 1981. Hier nach: R. Guski: Deutsche Briefe über Ausländer. Bern 1986, S. 58.
5. Guski, Deutsche Briefe über Ausländer, S. 57.
6. W. Bos / Ch. Tarnai: Angewandte Inhaltsanalyse in Empirischer Pädagogik und Psychologie. Münster 1989, S. 7. Darin weitere Literatur zur Inhaltsanalyse.
7. H. Treinen: Formalisierte Inhaltsanalyse. Zur Inhaltsanalyse symbolischer Materialien. In K. Vondung (Hrsg.): Kriegserlebnis. Der Erste Weltkrieg in der literarischen Gestaltung und symbolischen Deutung der Nationen. Göttingen 1980, S. 162-172.
8. Ebda., S. 163.
9. Ebda., S. 165.
10. Ebda., S. 167.
11. S.-P. Ballstaedt: Zur Dokumentenanalyse in der biografischen Forschung. In: Biografie und Psychologie. Hrsg. v. G. Jüttemann / H. Thomae, Berlin, Heidelberg 1987.
12. H. Thomae: Response hierarchies related to different areas of life stress. A contribution to the person-situation issue. In: Personality Psychology in Europe (Hrsg.: A. Angleitner u.a.), Vol 2, S. 47-62. Ders.: Zur Relation von qualitativen und quantitativen Strategien psychologischer Forschung. In: G. Jütteman (Hrsg.): Qualitative Forschung in der Psychologie. Weinheim, Basel, 1985, S. 92-107. H. Thomae: Die biografische Methode in den anthropologischen Wissenschaften. In: Ders.: Vita Humana. Beiträge zu einer genetischen Anthropologie. Frankfurt, Bonn, 1969. Zum methodischen Vorgehen vgl. als neueren Ansatz zur Inhaltsanalyse: Ph. Mayring: Qualitative Inhaltsanalyse. In: Jüttemann, G. (Hrsg.): Qualitative Forschung in der Psychologie. Weinheim, Basel, 1985, S. 187-211.
13. Guski, Deutsche Briefe über Ausländer (wie Anm. 3). Guskis Studie über Briefe, die Deutsche an die Bundesregierung zu Ausländerfragen richteten, hat ein Grundproblem: Sowohl abhängige wie unabhängige Variablen sollen aus den Briefen selbst erschlossen werden. Als Kriterium dient Guski die handlungsorientierte Aufforderung für oder gegen Ausländer (als Indiz für pro- und antisoziales Verhalten); als Prädiktor nimmt er u.a. die Einstellung - positiv oder negativ -, wie sie in den Briefen gegenüber Ausländern zum Ausdruck kommt. Es verwundert nicht, dass die menschlichen Kodierer das nicht auseinander halten können, sondern die Schlussfolgerungen und Forderungen der Briefschreiber auch als ein Indiz für ihre Einstellung heranziehen. Wenn Guski also zu dem Schluss kommt, dass menschliche Kodierer die Aufgabe der Inhaltsanalyse nicht zweifelsfrei leisten können, geht das zu einem guten Teil auf seine inhaltlich komplexe, unlösbare Aufgabenstellung zurück.
Bemerkenswert sind Guskis Beobachtungen zur Aufwand - Nutzen Relation verschiedener Verfahren. So kommt er für eine Texteinheit, die bei Kenntnis und Einübung in einem Kategoriensysstem von einem Beurteiler in 10 Minuten kodiert werden kann, bei der rechnergestützten Auswertung derselben Texteinheit auf eine Bearbeitungszeit von 30 Minuten (weil die Eingabe mit erfasst wird) und bei einer "Intensitätsananlyse" in Anlehnung an Osgoods "evaluative assertion analysis" pro Variable (!) auf eine Bearbeitungszeit von 10 Stunden (ebda. S. 60 f.). Vgl. Ch. E. Osgood / S. Saporta / J. C. Nunnally: Evaluative assertion analysis. Litera 3, S. 33-88.
14. Allgemein zur Methode: K. Merten: Inhaltsanalyse. Opladen 1983.
15. S. S. Tomkins: The Thematic Apperception Test. The Theory and Technique of Interpretation. New York 1972. S. 26 ff. Zum Kategoriensystem von Tomkins s. auch: W. J. Revers: Der Thematische Apperzeptionstest. Handbuch. Bern, Stuttgart. S. 167 ff.
16. Revers, Der Thematische Apperzeptionstest, S. 169.
17. Tomkins unterzog die Erzählungen, die die Probanden zu den Bildern des TAT abgaben, über diese "Vektoren" hinaus drei weiteren Kategorisierungsgesichtpunkten: Die "Niveauebenen" sollten erfassen, welche psychologische Funktion in der Geschichte zum Ausdruck kommt (werden Objekte beschrieben oder Ereignisse, geht es um Wahrnehmungen, um Interesse, um Erinnerung usw.); mit den "Bedingungen" sollten alle psychischen, sozialen oder körperlichen Zustände beschrieben werden, die nicht selbst Verhalten, Streben oder Wunsch sind (wie z. B. "Verlust", "Mangelzustände", "Gefahr" usw.). Schließlich wollte Tomkins mit den "qualifiers" besondere Merkmale der Vektoren, Niveauebenen oder Bedingungen erfassen (zeitliche Charakteristik, Sicherheitsgrad einer Aussage, Verneinung usw.). Der Anspruch, auf diesem Wege Satz für Satz einer TAT-Geschichte der Analyse zu unterziehen und alle vier Aspekte zu berücksichtigen, lässt verständlich werden, warum sich Tomkins Schema in der Ganzheit nicht durchsetzte: Es ist für die tägliche Praxis zu aufwendig. Immerhin liegt das Verdienst darin, dass eine ganzheitliche Diagnose in den Bereich des Möglichen rückt. Die vorliegende Untersuchung greift dazu die Anregung der "Vektoren" auf. Die anderen Analyseebenen sind für das Feldpostbriefmaterial nicht geeignet oder sie fließen an anderen Stellen des Kategoriensystems ein. So erscheinen einige der "Bedingungen" (Verlust, Mangelzustände) im ersten Teil des Kategoriensystems unter den Erfahrungen des Kriegsalltags (Kategorie 300 ff.).
18. Im Unterschied zu anderen in der Persönlichkeitspsychologie diskutierten Circumplex-Modellen soll es hier aber nicht um eine mathematisch-exakte Verortung einzelner Personen in einem Koordinatensystem gehen, wie es etwa Wiggins mit seinem zweidimensionalen Circumplex-Modell anstrebt. J. S. Wiggins / N. Phillips / P. Trapnell: Circular reasoning about interpersonal behavior: Evidence concerning some untested assumptions underlying diagnostic classification. In: Journal of Personality and Social Psychology (JPSP), 1989, Vol 56, No. 2, S. 296-305. Wiggings verwendete Adjektivlisten, deren polare Anordnung mithilfe einer Faktorenanalyse ermittelt wurde. Immerhin mag es eine Absicherung des hier entwickelten Circumplex-Modells darstellen, dass Wiggins mit seinen zwei rechtwinklig zueinander stehenden Dimensionen "Cold-Hearted - Warm /Agreable" und "Assured / Dominant - Unassured / Submissive" auf anderer Basis zu praktisch denselben Dimensionen kommt, wie sie hier mit den Achsen 1 und 3 beschrieben sind. Eingehend zu "Circumplex-Modellen" im Rahmen der Emotionsforschung: R. J. Larsen / E. Diener: Promises and problems with the circumplex model of emotion. In: Emotion. Hrsg. v. M. S. Clark. In: Review of Personality and Social Psychology, 13, S. 25-59.
19. Merten, Inhaltsanalyse, S. 98.
20. vgl. Ph. Mayring: Qualitative Inhaltsanalyse. In: G. Jüttemann: Qualitative Forschung in der Psychologie. Weinheim, Basel 1985, S. 187 - 211.
21. Eine Beispielliste der Zurordnung von Kategorein und Briefpassagen wurde erstellt und kann beim Verfasser angefordert werden.
22. W. Bos: Reliabilität und Validität in der Inhaltsanalyse. In: W. Bos / Ch. Tarnai (Hrsg.): Angewandte Inhaltsanalyse in Empirischer Pädagogik und Psychologie. Münster 1989, S. 62.
23. Mein herzlicher Dank gilt Frau Susanne Nitschke für ihre Kodierung von Feldpostbriefen zur Feststellung der Interrater-Reliabilität.
24. J. Cohen: A coefficient of aggreement for nominal scales. In: Educational and Psychological Measurement, 20,1, 1960, S. 37 - 46.
25. G. Schöfer: Gottschalk-Gleser-Sprachinhaltsanalyse: Theorie und Praxis. Studien zur Messung ängstlicher und aggressiver Affekte. Basel 1980. Im Verfahren von Gottschalk-Gleser wird die Relativierung über die Textlänge vorgenommen. Versuchspersonen werden aufgefordert, eine spannende Geschichte in einer bestimmten Zeit zu erzählen. Diese wird dann ausgewertet im Hinblick auf ein Hauptthema - Aggression oder Angst - mit verschiedenen Unterindices. Ein "Vielredner" könnte allein aufgrund der Textlänge einen höheren Aggressionsscore erreichen als ein "Wenigredner", so dass hier eine Relativierung über die jeweilige Wortzahl zu einem realistischeren Vergleich führt.
26. Ausführlicher, im Einzelnen belegt und anhand von Briefauszügen dargestellt: s. Anm. 2.
27. T. Pysczcynski u.a.: A terror management analysis of self-awareness and anxiety. The hierarchy of terror. In: Anxiety Research, 2 (1990), S. 177-195.
28. O. Bartov: Hitlers Wehrmacht. Soldaten, Fanatismus und die Brutalisierung des Krieges. Reinbek 1995 (Orig. Hitler's Army, Oxford 1992).
29. V. Klemperer: "LTI" (Lingua Tertii Imperii). Die unbewältigte Sprache. München 1946 / 1969.
30. D. J. Goldhagen: Hitlers willige Vollstrecker. Berlin 1996. Vgl dazu J. H. Schoeps: Ein Volk von Mördern? Die Dokumentation zur Goldhagen - Kontroverse um die Rolle der Deutschen im Holocaust. Hamburg 1996. W. Wippermann: Wessen Schuld? Vom Historikerstreit zur Goldhagen-Kontroverse. Berlin 1997. N. Finkelstein in: New Left Review, Juli /August 1997; dazu Der SPIEGEL, Nr. 33 und Nr. 34 / 1997. C. Browining: Daniel Goldhagens willige Vollstrecker. In: Der Weg zur "Endlösung". Bonn 1998, S. 161-182. Zur "Wehrmachtsausstellung": H. Heer / H. K. Naumann u.a.: Vernichtungskrieg. Verbrechen der Wehrmacht 1941 - 1944. Hamburg 1995.